
R course
Daniel Vaulot
2023-06-22




Data visualization


Source: Michael Friendly



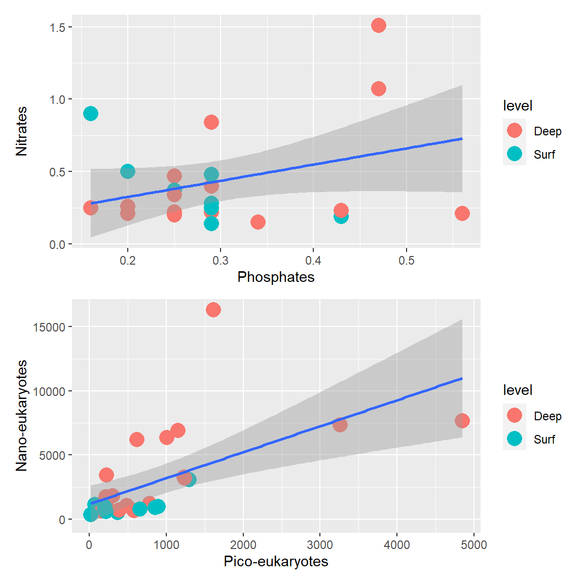
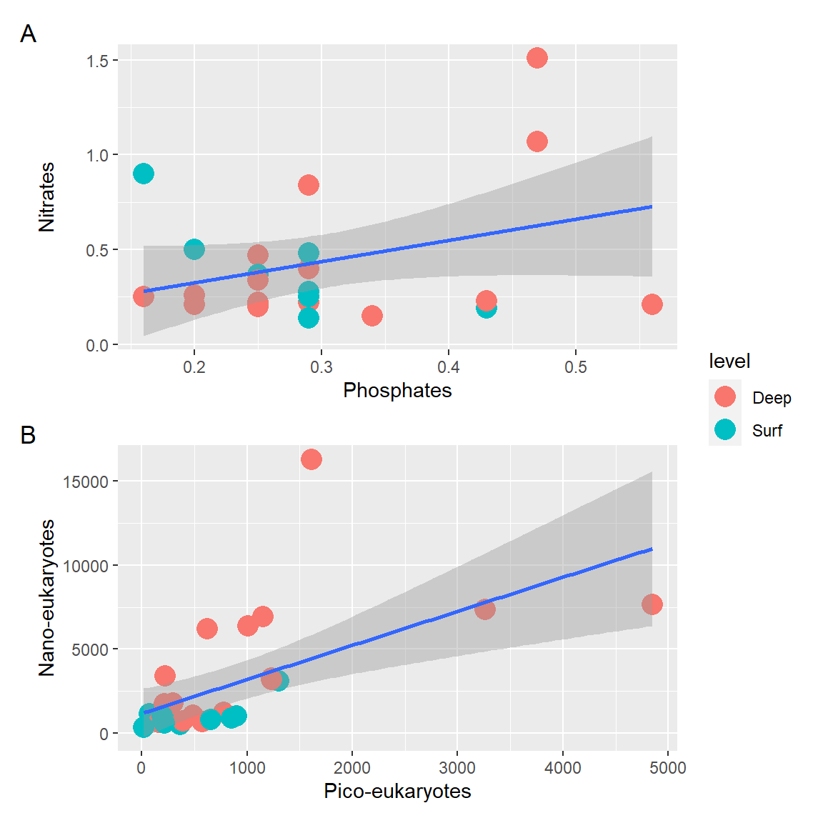
| sample number | transect | station | date | time | depth | level | latitude | longitude | picoeuks | nanoeuks | phosphates | nitrates | temperature | salinity |
|---|---|---|---|---|---|---|---|---|---|---|---|---|---|---|
| 10 | 1 | 81 | 2013-11-13 | 1899-12-31 01:00:00 | 140 | Deep | -27.42 | -44.72 | 3278 | 1232 | 0.20 | 0.26 | 17.3 | 35.9 |
| 11 | 1 | 85 | 2013-11-13 | 1899-12-31 13:30:00 | 110 | Deep | -26.80 | -45.30 | 16312 | 1615 | 0.29 | 0.22 | 21.3 | 36.5 |
| 120 | 2 | 96 | 2013-11-18 | 1899-12-31 23:50:00 | 5 | Surf | -27.39 | -47.82 | 1150 | 75 | 0.43 | 0.19 | 23.1 | 33.5 |
| 121 | 2 | 96 | 2013-11-18 | 1899-12-31 23:50:00 | 30 | Deep | -27.39 | -47.82 | 1737 | 218 | 0.43 | 0.23 | 22.6 | 33.7 |
| 122 | 2 | 96 | 2013-11-18 | 1899-12-31 23:50:00 | 50 | Deep | -27.39 | -47.82 | 853 | 234 | 0.56 | 0.21 | 20.3 | 35.9 |
| 125 | 2 | 98 | 2013-11-18 | 1899-12-31 05:00:00 | 5 | Surf | -27.59 | -47.39 | 3086 | 1300 | 0.29 | 0.25 | 23.1 | 35.7 |
| 126 | 2 | 98 | 2013-11-18 | 1899-12-31 05:00:00 | 50 | Deep | -27.59 | -47.39 | 1217 | 782 | 0.25 | 0.20 | 23.7 | 37.2 |
| 127 | 2 | 98 | 2013-11-18 | 1899-12-31 05:00:00 | 85 | Deep | -27.59 | -47.39 | 3420 | 226 | 0.25 | 0.47 | 22.9 | 37.0 |
| 13 | 1 | 86 | 2013-11-13 | 1899-12-31 17:00:00 | 105 | Deep | -26.33 | -45.41 | 6366 | 1007 | 0.34 | 0.15 | 20.9 | 36.3 |
| 140 | 2 | 101 | 2013-11-18 | 1899-12-31 12:00:00 | 5 | Surf | -27.79 | -46.96 | 500 | 366 | 0.29 | 0.14 | 23.5 | 36.5 |
Every graph can be described as a combination of independent building blocks:
Error in `geom_point()`:
! Problem while computing aesthetics.
ℹ Error occurred in the 1st layer.
Caused by error in `scale_f()`:
! A continuous variable cannot be mapped to the shape aesthetic
ℹ choose a different aesthetic or use `scale_shape_binned()`
gridExtracowplot
scale_colour_viridis_c())

Conceptualize your graph before coding
Decide what element is fixed and what varies
It takes time to get what you want…
Exploratory vs. final
R - data vizualization